Potencial periódico

prev.gif (1231 bytes)home.gif (1232 bytes)next.gif (1211 bytes)

Mecánica Cuántica

La ecuación de
Schrödinger  
Escalón de potencial
E>E0
Escalón de potencial
E<E0
Modelo de núcleo
radioactivo
Desintegración
radioactiva
Caja de potencial
Pozo de potencial
Átomo, molécula... 
sólido lineal
marca.gif (847 bytes)Potencial periódico
Defectos puntuales
Barreras de potencial
El oscilador armónico
cuántico
El potencial periódico

Modelo de Kronig-Penney

java.gif (886 bytes) Actividades

 

El potencial periódico

Examinemos en esta sección el potencial periódico, formado por infinitos pozos de potencial iguales. El efecto de la red lineal será el de cambiar la función de onda de la partícula libre de modo que en lugar de tener una amplitud constante, esta función de onda tenga una amplitud variable u(x).

Como el potencial es periódico con periodo l=a+b, suma de la anchura a del pozo y de la separación b entre pozos, se deberá cumplir que

u(x+l)=u(x)

Ambas expresiones constituyen el teorema de Bloch. Podemos obtener la imagen de dichas funciones de onda considerando que u(x) se asemeja a la función de onda de los átomos aislados (de un pozo de potencial) y reemplazando exp(ikx) por las funciones de onda de una partícula libre en una caja de potencial. Esto es lo que hemos observado al visualizar las funciones de onda de los primeros niveles de energía de un sistema de pozos de potencial.

 

Modelo de Kronig-Penney

Consideremos el movimiento de una partícula en un potencial periódico de periodo l=a+b, formado por un pozo de potencial de anchura a y profundidad E0, y una barrera de potencial de anchura b. En la figura muestra tres regiones en las que vamos a obtener la solución de la ecuación de Schrödinger.

Solido8.gif (2212 bytes)

  • En la primera

  • En la segunda región

  • En la tercera región, la solución se puede obtener a partir de la primera aplicando la condición de periodicidad.

El punto x en la región 3 se corresponde con el punto x-l en la región 1, de modo que u(x)=u(x-l).

Despejando u(x) e introduciendo dicha expresión en la función de onda en la tercera región.

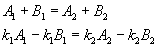
Escribiremos ahora las condiciones de continuidad de la función de onda y de su derivada primera en los puntos x=0, y x=a.

  • en x=0

Se obtiene

  • en x=a

Tenemos un sistema homogéneo de cuatro ecuaciones con cuatro incógnitas, el determinante de los coeficientes debe ser cero. Para el caso en el que E<E0, que es el que estudiamos en el applet, k1 es una cantidad imaginaria, llamemos k1=ik3.

Ecuación que nos da la relación entre la energía E y el número de onda k, y que representaremos en la ventana del applet. Ya que el módulo del coseno no puede ser mayor que la unidad, obtenemos así la condición impuesta a k3 y a k2 y por tanto a la energía E.

Esta condición define las bandas de energía permitidas.

 

Actividades

Se introduce

  • la anchura de cada uno de los pozos, en el control de edición titulado Anchura del pozo
  • la separación entre los pozos, en el control de edición titulado Separación
  • la profundidad de los pozos está fijada en el programa en un valor igual a 5 unidades.
Se pulsa el botón titulado Bandas de energía. Se calculan y representan las bandas de energía.

Si se pulsa en el botón titulado Zonas de Brillouin se representa la energía (eje vertical), en función del número de onda k (eje horizontal).

Puede observarse que la energía presenta una discontinuidad, para números de onda k múltiplos de p/l, donde l=a+b es el periodo de la red lineal. Estos valores representan fronteras entre zonas de Brillouin contiguas. Los intervalos de existencia de cada una de las zonas medidas en el eje vertical representan las bandas de energía, que se muestran como rectángulos de color azul en la parte derecha de la ventana.

Comparar esta representación con la obtenida al estudiar la constitución efectiva de las bandas de energía a medida que se van añadiendo "átomos" a la red lineal.

 

  

Referencias

Tarasov, L.V. Basic Concepts of Quantum Mechanics. Mir Publishers (1980), pp. 223-225