Energy Storage Technologies for Electric Applications
J. I. San Martín, I. Zamora, J. J. San Martín, V. Aperribay, P. Eguía
La penetración de fuentes renovables en las redes de los sistemas eléctricos de potencia, se ha incrementado notablemente en los últimos años. Sin embargo, la potencia suministrada por estas fuentes de energía no es tan segura y fácil de ajustar a los cambios en la demanda, como la potencia suministrada por los sistemas energéticos tradicionales. Como consecuencia, y en orden a garantizar la fiabilidad, calidad y prestaciones de estos sistemas, se integran en las redes, simultáneamente con estas fuentes, dispositivos de almacenamiento de energía.
Este paper presenta el estado actual de desarrollo de varias tecnologías de almacenamiento que se proponen para su utilización en los sistemas eléctricos de potencia. Se muestran las expresiones características de las mismas, aplicaciones específicas y datos comparativos de las distintas tecnologías en términos técnicos y económicos
Introducción
En el contexto de la Generación Distribuida, las nuevas fuentes de energía se basan en aprovechar directamente los recursos de la naturaleza, cuyas puntas de producción energética no se suelen ajustar a la demanda de energía. Pueden presentar grandes fluctuaciones en sus ciclos diarios, estacionales, anuales o incluso plurianuales de producción de energía. La demanda, por su parte, puede variar a lo largo del día, de la semana o del año. En consecuencia, se requiere una reserva de energía, es decir, almacenar energía cuando hay excedentes y liberarla, cuando la producción no alcanza a cubrir las necesidades de la demanda.
En general, la fiabilidad del suministro eléctrico se alcanza principalmente mediante la combinación de las centrales de carga de base, centrales de carga cíclica y centrales de puntas.
El último de los recursos de una gestión energética eficiente es el almacenamiento de la energía. Este almacenamiento puede permitir un diseño de las centrales para un funcionamiento a carga prácticamente constante por debajo de la demanda de puntas, proceso que se conoce como laminación de puntas, que reduce notablemente los elevados costes de capital de las centrales.
Características de las tecnologías de almacenamiento
Existen muchas técnicas destinadas al almacenamiento, basadas en prácticamente todas las formas de energía: mecánica, química y térmica.
Las tecnologías de almacenamiento utilizadas presentan criterios técnicos y económicos, que varían considerablemente, en función de las necesidades y aplicaciones específicas [1]. Estas tecnologías se pueden dividir en cuatro categorías, en función de las aplicaciones [2]:
- Aplicaciones de baja potencia en áreas aisladas, esencialmente, para alimentar transductores y terminales de emergencia.
- Aplicaciones de media potencia en áreas aisladas, sistemas eléctricos individuales y suministro eléctrico a ciudades.
- Network connection application with Peak leveling.
- Aplicaciones de control de power-quality.
Las dos primeras categorías son idóneas para sistemas de pequeña escala, donde la energía podría ser almacenada en forma de energía cinética, energía química, aire comprimido, hidrógeno, supercondensadores y superconductores.
Las categorías tercera y cuarta son idóneas para sistemas a gran escala, donde la energía podría ser almacenada como energía gravitacional en sistemas hidráulicos, energía térmica en forma de calor latente y sensible, energía química en acumuladores y baterías, o aire comprimido.
En relación a la capacidad de almacenamiento de las distintas tecnologías, se define como la cantidad de energía disponible en el sistema de almacenamiento después de completar el ciclo de carga. La descarga es con frecuencia incompleta y por esta razón, se define en base a la energía totalmente almacenada, Wst (Wh), que es superior a la energía útil en un punto determinado de operación, Wut.
Respecto a la energía disponible, en algunas de las tecnologías de almacenamiento, viene determinada por la constitución y dimensiones del sistema generador-motor utilizado en la cadena de conversión de la energía almacenada. La potencia disponible, generalmente, se expresa como un valor medio y, frecuentemente, para representar la potencia máxima de carga o de descarga, se utiliza un valor de pico, Pmax (W).
Por otra parte, la energía suministrada en la descarga de las distintas tecnologías, o profundidad de la descarga, es el ratio de energía descargada en relación a la cantidad de energía que puede almacenar y se suele indicar en porcentaje. Esta energía debe estar disponible para el suministro durante las horas punta.
Respecto al tiempo de descarga, su duración desde la máxima potencia viene determinada por la expresión, [3].
![]()
donde:
τ(s): Tiempo de descarga, en s
Wst : Energía total almacenada, en Wh
Pmax: Potencia máxima o de pico, en W
Para evaluar la eficiencia de las tecnologías de almacenamiento se utiliza el ratio entre la energía liberada y la energía almacenada y su valor se obtiene mediante la expresión, [3].
![]()
donde:
η: Eficiencia de la tecnología de almacenamiento
Wut: Energía útil o recuperable para un punto determinado de operación, en Wh
La durabilidad de estas tecnologías de almacenamiento viene dada por el número de veces que la unidad de almacenamiento puede liberar energía desde el nivel para el cual se había diseñado, después de cada recarga. Se expresa como el máximo número de ciclos, N, correspondiendo cada ciclo a una carga y a una descarga.
La autonomía de estas tecnologías se refiere al tiempo máximo que el sistema puede liberar energía de forma continua. Se define mediante la ecuación
![]()
donde:
a: Autonomía, en s
Pd: Potencia máxima de descarga, en W
Sistemas de almacenamiento de energía
A continuación se exponen los distintos modos de almacenamiento energético, considerando las propiedades más relevantes de las distintas tecnologías.
A. Flywheel
Los volantes de inercia almacenan la energía en su forma cinética. La cantidad de energía almacenada viene dada por la expresión
![]()
donde:
I: Momento de inercia del volante
ω: Velocidad angular
El máximo de energía almacenada está limitada en última instancia por la resistencia a la tracción del material del volante de inercia [4]. La máxima densidad de energía específica, Esp, que puede ser almacenada en un volante de inercia viene dada por la expresión
![]()
donde:
σm: Maximum tensile strength of flywheel material
ks: Shape factor
ρ: Density of the flywheel material
En base al material del rotor, existen dos clases de flywheels:
- Con rotor de composite avanzado, como carbon-fiber or graphite. Estos materiales proporcionan alta energía específica.
- Con rotor de acero. Este tipo de flywheel no solo contempla los diseños tradicionales, que presentan grandes diámetros con baja velocidad de rotación y bajas potencias y densidades de energía, si no que además incluye volantes nuevos de altas prestaciones.
En el contexto de la Generación Distribuida, los flywheels permiten uniformizar el consumo, almacenando energía en las horas valle y devolviendo la energía a la red en las horas punta. En consecuencia, se reducen las pérdidas en el transporte y distribución y se optimiza el uso de las subestaciones existentes al obtenerse picos de consumo menores.
Los flywheels proporcionan una cantidad de energía en un intervalo de tiempo relativamente breve, por lo que pueden desempeñar un papel importante en la regulación primaria del control frecuencia-potencia. En la Figura 1 se indica el diagrama de operación de un flywheel.

Fig. 1. Diagrama de operación del flywheel
B. Superconducting Magnetic Energy Storage (SMES)
A SMES unit consiste en una gran bobina superconductora, que se mantiene a temperature criogénica mediante un refrigerador o criostato que contiene helio o nitrógeno líquido. La energía almacenada en la bobina, E, viene dada por la expresión
![]()
donde:
L: Coeficiente de autoinducción
I: Intensidad
Utilizando los conductores convencionales, esta tecnología ha estado muy limitada y solo ha sido posible su desarrollo con la implementación de los superconductores. Además, se pueden conseguir tiempos de devolución de energía muy pequeños (<<1 s), con picos de potencia elevados. Este método proporciona gran eficiencia, ya que la bobina superconductora prácticamente no tiene pérdidas por efecto Joule, y solo se consideran las pérdidas del convertidor electrónico, presentando pocas conversiones energéticas intermedias. En la Figura 2 se muestra un sistema de almacenamiento mediante bobinas superconductoras. [5].

Fig. 2. Superconducting magnetic energy storage system
La red representada en la figura 2 utiliza un sistema acondicionador de señales, que conecta el bus CC de la bobina con la línea de AC, permitiendo su carga y descarga.
C. Supercondensadores
Un supercapacitor (ultracapacitor o double layer capacitor) es una nueva tecnología de almacenamiento de energía. Son dispositivos que tienen un principio de operación similar a un condensador tradicional. Sin embargo, su capacidad y corriente de descarga es mucho más alta y por ello, los supercapacitors se utilizan como unidades de almacenamiento en sistemas de potencia, vehículos, etc. La diferencia principal con respecto a los condensadores convencionales reside, por una parte, en que almacenan la energía en la interfase entre un electrodo conductor poroso y un electrolito líquido iónico conductor y, por otra parte, que la superficie aumenta mucho debido a la muy elevada porosidad del electrodo.
Para la mayoría de estudios y aplicaciones, los supercapacitors se representan mediante un circuito eléctrico equivalente. En la Figura 3 se indica un modelo de supercapacitor constituido por elementos RC, [6].

Fig. 3. Model of a supercapacitor
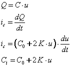
El primer parámetro analizado de este modelo es la capacidad, C, del supercapacitor, que define su comportamiento y condiciona la energía almacenada por el mismo. Esta capacidad no es constante y depende de la tensión entre sus terminales. Esta es la razón por la que la capacidad del supercapacitor es modelada como una capacidad constante, C0, en paralelo con un condensador, Cu, que muestra una dependencia lineal con la tensión, u, como se indica en las expresiones
![]()
De estas expresiones, se puede deducir la ecuación de la corriente del condensador, ic, mediante las ecuaciones

Asimismo, se pueden definir sus prestaciones energéticas, mediante las ecuaciones

La resistencia, Rs, del modelo del supercapacitor, indicado en la figura 3, produce caídas de tensión durante la carga y descarga del mismo y su valor influye en la eficiencia energética del dispositivo, así como en la densidad de potencia.
La resistencia R1 origina pérdidas de carga cuando el dispositivo se encuentra en stand-by, mientras que los n circuitos paralelo RC, representan el fenómeno de relajación producido en el interior del supercapacitor debido a la difusión de las cargas.
Estos dispositivos de almacenamiento de energía se utilizan en la compensación de caída de tensión en redes débiles, permitiendo unos picos de potencia muy intensos. Se pueden lograr eficiencias en el ciclo completo de carga-descarga cercanas al 90%.
En la Figura 4 se presenta el supercapacitor como una unidad de almacenamiento de energía integrado en una micro-red [7].
Fig. 4. Supercapacitor integrado en una micro-red
D. Battery Electric Storage System (BESS)
La batería es un dispositivo que transforma la energía química de sus materiales en energía eléctrica mediante reacciones de oxidación y reducción. Está constituida por una unidad básica, llamada celda o elemento, que posteriormente es unida a otras, en serie o en paralelo, para obtener unos niveles de capacidad o de tensión específicos.
Se han desarrollado numerosos tipos de celdas electroquímicas, que pueden utilizarse en el ámbito de los sistemas eléctricos de potencia, destacando las de lead acid, flooded type, valve regulated, sodium sulphur, lithium ion, metal air, flow batteries, vanadium redox, zinc bromine, níkel cadmium, etc.
Las baterías presentan unos parámetros propios que las caracterizan, entre los cuales cabe destacar los siguientes:
- Tensión en circuito abierto, que se mide estando la batería en reposo.
- Capacidad, en Ah. Indica la cantidad de corriente que puede suministrar en una descarga de tiempo especificada.
- State of Charge (SOC). Especifica el porcentaje de capacidad disponible de la batería, respecto a su capacidad nominal.
- Corriente máxima de descarga de la batería.
- State of Health (SOH). Denota la capacidad de la celda para almacenar energía, entregar y suministrar elevadas corrientes y almacenar la carga durante largos periodos de tiempo, en relación a su capacidad nominal.
- Estado de Funcionamiento (SOF). Indica la capacidad de la batería para llevar a cabo determinadas partes del ciclo de trabajo.
- Profundidad de Descarga (DOD). Representa la cantidad de energía que se puede extraer de una batería y se indica en % de la capacidad total de la batería.
En la Tabla I se indican las propiedades más relevantes de las baterías utilizadas en las redes eléctricas de Generación Distribuida [8].

E. Pumped Hydroelectric Energy Storage (PHES)
Esta tecnología posibilita la utilización de la energía eléctrica en horas valle, para bombear agua desde un depósito inferior a otro situado a mayor altitud. Cuando el agua almacenada en el depósito superior pasa a través de una tubería hidráulica produce energía eléctrica, que puede ser inyectada a la red en las horas unta. Las principales ventajas que presenta son el bajo coste de la energía y la posibilidad de regular la frecuencia.
Estos sistemas de bombeo están basados en máquinas eléctricas e hidráulicas reversibles, es decir, un generador-motor y una turbina-bomba. Los tiempos de transición completa entre el estado de generación y de acumulación han de ser breves para responder a los cambios bruscos de las necesidades de potencia de la red eléctrica.
Para evaluar la eficiencia global del sistema de almacenamiento de energía mediante el bombeo de agua, se debe considerar el ratio de energía suministrada a la red y la energía consumida mientras se bombea. La energía utilizada para bombear un volumen de agua, V, hasta una altura, h, con una eficiencia de bombeo, ηp, se puede obtener mediante la primera ecuación, mientras que la energía suministrada a la red por el generador, de eficiencia ηg, se puede obtener mediante la segunda ecuación

En la Figura 5 se muestra un sistema eléctrico renovable, que incluye un conjunto de aerogeneradores, almacenamiento de agua, generación hidroeléctrica e interconexión a la red. Esta conexión permite evacuar la energía de origen renovable a los usuarios y acceder a la energía suplementaria, en función de las necesidades existentes [9].

Fig. 5. Hybrid wind-hydro power plant
F. Compressed Air Energy Storage (CAES)
El almacenamiento de la energía con aire comprimido es semejante al almacenamiento por bombeo. En esta tecnología el aire se comprime y se almacena en depósitos, acuíferos o cavidades subterráneas. La energía almacenada se libera durante los intervalos de demanda de puntas, expandiendo el aire a través de una turbina.
Cuando se comprime aire para almacenarlo, su temperatura sufre un incremento, de acuerdo con la siguiente expresión, donde T y P son la temperatura y presión absoluta, respectivamente, K es el índice politrópico del proceso irreversible de compresión, mientras que los subíndices 1 y 2 indican los estados inicial y final de la compresión, respectivamente.

El calor originado puede quedar retenido en el propio aire comprimido, o en otro medio de almacenamiento de calor, para, posteriormente, ser devuelto al aire antes su expansión en la turbina. Este método se conoce como sistema adiabático de almacenamiento y alcanza una elevada eficiencia. En este contexto, cabe tener presente que, para una determinada relación de presiones, el trabajo de la turbina es directamente proporcional a la temperatura absoluta de admisión.
Si el calor generado en la compresión se pierde, se puede suministrar calor adicional al aire comprimido mediante la combustión de un combustible, constituyendo un sistema de almacenamiento híbrido.
En la Figura 6 se indica la configuración correspondiente a un sistema CAES, que opera con los excedentes de generación de un parque eólico, [10], [11] y [12]. Este sistema opera de la misma forma que una turbina de gas convencional, excepto que las operaciones de compresión y expansión son independientes y se dan en distintos tiempos.

Fig. 6. Representación conceptual del CAES
Una de las claves para evaluar las prestaciones eléctricas de los CAES, reside en estimar la energía eléctrica que se puede generar por unidad de volumen del depósito de almacenamiento de aire, EGEN/Vs. En este sentido, la energía eléctrica de la turbina, EGEN, viene dada por la expresión [10].
![]()
donde: la integral representa el trabajo mecánico generado por la expansión del aire y el combustible en la turbina.
mI: Air mass flow rate.
WCV,TOT: Trabajo mecánico total por unidad de masa generado en el proceso.
t: Tiempo necesario para vaciar completamente el depósito de aire a plena potencia de salida.
ηM
: Eficiencia mecánica de la turbina.
ηG: Eficiencia eléctrica del generador.
Como todos los sistemas CAES hasta ahora se basan en dos etapas de expansión, la producción de trabajo se puede expresar como la suma correspondiente a las dos etapas. El primer término representa el trabajo correspondiente a la turbina en la que se expande el aire a la presión de entrada, p1, hasta la presión de entrada de la segunda turbina, p2. Asimismo, el segundo término representa el trabajo derivado de la expansión a la presión p2 hasta la presión barométrica, pb. en la ecuación se representan los términos correspondientes a estos trabajos.

Suponiendo una compresión adiabática y considerando los calores específicos a presión y volumen constante, K = Cp/Cv, se puede obtener la expresión

donde:

En estas expresiones, el flujo de la masa de aire total a través de la turbina, mI, puede expresarse en términos separados, de aire, mA, y de combustible, mF, como se indica en la expresión

Storage Technologies Comparisons
A continuación se muestra un conjunto de gráficos, que permiten observar las propiedades más relevantes de las distintas tecnologías de almacenamiento de energía.
Para ser altamente eficiente, una tecnología de almacenamiento necesita ser adaptada para cada tipo de aplicación, redes de media potencia en áreas aisladas, redes interconectadascon Generación Distribuida, etc. [2]. Además, debe considerarse el tipo de producción en origen de la energía eléctrica, mediante recursos renovables o fósiles. En la Figura 7 se indican los campos de aplicación de las diferentes tecnologías de almacenamiento de energía, atendiendo a la energía almacenada y la potencia de salida [13].

Fig. 7. Campos de aplicación of the storage technologies
En la Figura 8 se indican las tecnologías de almacenamiento más adecuadas para las tres categorías operacionales más destacadas: power quality, bridging power and energy management [14].

Fig. 8. Aplicaciones de las storage technologies
La eficiencia energética y las expectativas de duración, es decir, el máximo número de ciclos, constituyen dos parámetros importantes a considerar, entre otros, para optar por las distintas tecnologías de almacenamiento, puesto que afectan a los costes globales de almacenamiento. En la Figura 9 se indican las características de las distintas tecnologías de almacenamiento en relación a la eficiencia and lifetime [14].

Fig. 9. Eficiencia and lifetime de las storage technologies
El análisis de los costes asociados a cada tipo de almacenamiento es un parámetro económico importante, y a efectos al coste total de la producción de energía. En la Figura 10 se indican los costes de inversión de las distintas tecnologías de almacenamiento de energía por unidad de potencia o unidad de energía [14].

Fig. 10. Costes de inversión de las tecnologías de almacenamiento
El coste por ciclo podría ser el mejor camino para evaluar el coste de un sistema de almacenamiento diseñado para aplicaciones con frecuentes cargas y descargas. La Figura 11 muestra el coste de las distintas tecnologías, teniendo en cuenta la durabilidad y la eficiencia de las mismas [14].

Fig. 11. Costes de inversión de las tecnologías de almacenamiento para cada ciclo de carga-descarga
Las diferentes tecnologías de almacenamiento pueden ser clasificadas en función de la disponibilidad de energía y potencia máxima por densidad de volumen o por densidad de masa. Esta comparativa es particularmente importante para la transmisión de energía, aplicaciones portátiles y zomas aisladas. En la Figura 12 se muestran las distintas tecnologías de almacenamiento en función de la densidad de masa y densidad de volumen [14].

Fig. 12. densidad de masa y densidad de volumen de las tecnologías de almacenamiento
Conclusiones
Este paper presenta las propiedades más relevantes de las tecnologías de almacenamiento de energía que actualmente se desarrollan en el diseño de los sistemas electrónicos de potencia. En este sentido, se exponen los parámetros que caracterizan el comportamiento de las diferentes tecnologías, en orden a una adecuada utilización de las mismas.
Considerando las aplicaciones permanentes de baja potencia, en las que el fenómeno clave es la posible autodescarga, las baterías lithium-ion se presentan como la tecnología más acertada.
En los sistemas eléctricos de pequeñas dimensiones, de unos pocos kWh, ubicados en áreas aisladas y basados en recursos renovables, la característica más relevante para optar por una u otra tecnología es la autonomía. Atendiendo a esta característica, y como solución de compromiso entre las prestaciones eléctricas y el coste, la batería de plomo es la más adecuada.
Para sistemas eléctricos de unos pocos cientos de kWh, la batería de plomo es todavía la más adecuada, por delante de la batería lithium-ion, debido a su coste. También se contemplan otras tecnologías de almacenamiento, pero son menos eficientes o más costosas. En este sentido, se utilizan los sistemas de aire comprimido y las baterías de flujo.
En los sistemas de muchos MWh, para el nivelado de carga en las horas punta se requieren tecnologías de alta energía almacenada, como el aire comprimido y las baterías de flujo.
Respecto a las aplicaciones de control de power-quality, los criterios más destacados son la capacidad de energía liberada y la capacidad de número de ciclos. En este sentido, los flywheels y los supercapacitors son los más adecuados.
Por otra parte, ciertas tecnologías son hábiles para satisfacer las necesidades de almacenamiento de la energía procedente de recursos intermitentes. En este contexto, caben destacar el bombeo de agua, para sistemas a gran escala y los SMES para sistemas a pequeña escala.
Reconocimientos
The work presented in this paper has been supported by the Basque Government (Ref. IT532-10) and by the Regional Council of Guipuzcoa
Referencias
- J.I. San Martín, I. Zamora, J.J., V. Aperribay, P. Eguía, "Hybrid fuel cells technologies for electrical microgrids", Electric Power Systems Research, Vol.80, pp.993-1005, 2010.
- H Ibrahim, A Ilinca, J. Perron, "Energy Storage Systems. Characteristics and Comparisons", Renewable and Sustainable Energy Reviews, Vol.12, pp.1221-1250, 2008.
- G. Robin, M. Ruellan, B. Multon, H. Ben Ahmed, P.Y. Glorennec, "Solutions de stockage de l'énergie pour les systèmes de production intermittente d'électricité renouvelable", Systèmes et applications des technologies de l'information et de l'énergie, (UMR 8029 CNRS), ENS Cachan (France), 2004.
- H. Liu, J. Jiang, "Flywheel energy storage - An upswing technology for energy sustainability", Energy and Buildings, Vol.39, pp.599-604, 2007.
- H.Y. Jung; A.R. Kim, J.H. Kim, M. Park, J.K. Yu, S.H. Kim, K. Sim, H.J. Kim, K.C. Seong, T. Asao, J. Tamura, "A Study on the Operating Characteristics of SMES for the Dispersed Power Generation System", IEEE Transactions on Applied Superconductivity, Vol.19, pp.2028-2031, 2009.
- P. Barrade, "Energy storage and applications with supercapacitors", Ecole Polytechnique Fédérale, Lausanne Switzerland), 2003.
- PJ Binduhewa, A.C. Renfrew, M. Barnes, "Ultracapacitor Energy Storage for MicroGrid Micro-generation", Power Electronics, Machines and Drives Conference, PEMD, pp.270-274, York (UK), 2008.
- K.C. Divya, J. Østergaard, "Battery energy storage technology for power systems - An overview", Electric Power Systems Research, Vol.79, pp.511-520,2009.
- J. Anagnostopoulos, D. Papantonis, "Pumping station design for a pumped-storage wind-hydro power plant," Energy Conversion& Management, Vol.48, pp.3009–3017, 2007.
- S. Succar, R.H. Williams, "Compressed Air Energy Storage: Theory, Resources, and Applications for Wind Power" Princeton Environmental Institute Report, 2008.
- Ridge Energy Storage & Grid Services L.P. "The Economic Impact of CAES on Wind in TX, OK, and NM", Final Report, Texas State Energy Conservation Office. 2005.
- E. Mazharia, J. Zhaoa, N. Celika, S. Leea, Y.J. Son, .L Heada,"Hybrid simulation and optimization-based design and operation of integrated photovoltaic generation, storage units and grid", Simulation Modelling Practice and Theory, 2010.
- Emerging Energy Storage Technologies in Europe. Rapport Frost& Sullivan, 2003.
- Electricity Storage Association. www.electricitystorage.org.
