La estructura atómica

prev.gif (1231 bytes)home.gif (1232 bytes)next.gif (1211 bytes)

Mecánica Cuántica

Experiencias relevantes
Parámetro de impacto y
ángulo de dispersión
Dispersión de partículas (I)
marca.gif (847 bytes)La estructura atómica
Dispersión de partículas (II)

El espectro
electromagnético
El cuerpo negro (I)
El cuerpo negro (II)
Ley de Stefan-
Boltzmann

El efecto fotoeléctrico
El efecto Compton
La cuantización de la 
energía
El espín del electrón
Difracción de micro-
partículas
Descripción

java.gif (886 bytes) Actividades

java.gif (886 bytes)Simulación de la experiencia de Rutherford

Referencias

 

La experiencia de Rutherford fue crucial en la determinación de la estructura atómica. Los párrafos que siguen son un extracto de su propia comunicación (1911):

"Es un hecho bien conocido que las partículas alfa y beta sufren desviaciones de sus trayectorias rectilíneas a causa de las interacciones con los átomos de la materia.

Parece indudable que estas partículas de movimiento veloz pasan en su recorrido a través de los átomos, y las desviaciones observadas son debidas al campo eléctrico dentro del sistema atómico.

Las observaciones de Geiger y Mardsen sobre la dispersión de partículas alfa, indican que algunas de estas partículas deben de experimentar en un solo encuentro desviaciones superiores a un ángulo recto.

Un cálculo simple demuestra que el átomo debe de ser asiento de un intenso campo eléctrico para que se produzca una gran desviación en una colisión simple..."

rutherford_6.gif (3623 bytes)

En aquella época Thomson había elaborado un modelo de átomo consistente en un cierto número N de corpúsculos cargados negativamente, acompañados de una cantidad igual de electricidad positiva distribuida uniformemente en toda una esfera. Rutherford pone a prueba este modelo y sugiere el actual modelo de átomo.

"La teoría de Thomson está basada en la hipótesis de que la dispersión debida a un simple choque atómico es pequeña y que la estructura supuesta para el átomo no admite una desviación muy grande de una partícula alfa que incida sobre el mismo, a menos que se suponga que el diámetro de la esfera de electricidad positiva es pequeño en comparación con el diámetro de influencia del átomo. Puesto que las partículas alfa y beta atraviesan el átomo, un estudio riguroso de la naturaleza de la desviación debe proporcionar cierta luz sobre la constitución del átomo, capaz de producir los efectos observados. En efecto, la dispersión de partículas cargadas de alta velocidad por los átomos de la materia constituyen uno de los métodos más prometedores de ataque del problema.."

En la simulación de la experiencia de Rutherford, consideramos una muestra de un determinado material a elegir entre varios y la situamos en el centro de un conjunto de detectores dispuestos a su alrededor. El blanco es bombardeado por partículas alfa de cierta energía producidas por un material radioactivo. Se observa que muy pocas partículas son desviadas un ángulo apreciable, y se producen muy raramente sucesos en los que la partícula alfa retrocede.

 

Descripción

Como hemos visto al estudiar el fenómeno de la dispersión, la interacción entre partículas cargadas positivamente corresponde a una fuerza central y conservativa. La energía total es siempre positiva por lo que la trayectoria es siempre una hipérbola.

Se denomina parámetro de impacto a la distancia existente entre la dirección de la partícula incidente y el centro de fuerzas.

Una vez que la partícula ha sido dispersada por el núcleo se aleja del centro de fuerzas siguiendo una trayectoria que tiende asintóticamente a una línea recta. El ángulo F que forma dicha recta con el eje horizontal se denomina ángulo de dispersión.

La fórmula que relaciona el parámetro de impacto b con el ángulo de dispersión F para una energía E dada de la partícula alfa, como hemos visto, es la siguiente.

Image1570.gif (1407 bytes)

 

Sección eficaz para la dispersión

Consideremos un haz uniforme de partículas cargadas, todas con la misma masa y energía que inciden sobre un centro de fuerzas, por ejemplo, un núcleo de una muestra metálica

El haz incidente está caracterizado por su intensidad I, que mide el número de partículas que atraviesan el área normal al haz en la unidad de tiempo. La dirección final de cada partícula del haz será diferente debido a la dispersión por el núcleo.

Se denomina sección eficaz para la dispersión s(F) al número de partículas dispersadas en el ángulo sólido dW por unidad de tiempo, dividido entre la intensidad incidente.

RUTH_2.gif (3043 bytes)

El área sombreada de la esfera tiene un área (2psenF)(RdF), que corresponde al ángulo sólido dW = 2p senF dF.

El número de partículas que inciden sobre el centro dispersor con un parámetro de impacto entre b y b+db es el producto de la intensidad I por el área del anillo que se muestra a la izquierda de la figura  I·(2p bdb). Dichas partículas cambiarán su dirección debido a la dispersión, estando su ángulo de desviación comprendido entre F y F+dF. Luego,

El signo menos significa que a un incremento del parámetro de impacto b, le corresponde a una disminución del ángulo de dispersión F.

Simplificamos la intensidad I del haz incidente.

Teniendo en cuenta la relación entre parámetro de impacto b y ángulo de dispersión F.

Llagamos a la siguiente relación

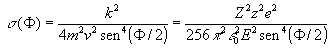
Donde Z es el número atómico del blanco, z el número atómico del proyectil, e la carga del electrón, E la energía de la partícula incidente, y F el ángulo de dispersión

Esta es la famosa fórmula de Rutherford, la sección eficaz diferencial de dispersión, confirmada por las experiencias de Geiger y que dio lugar a un nuevo modelo de átomo, formado por un núcleo muy pequeño cargado positivamente y una región amplia en torno al núcleo en la que se distribuye la carga negativa.

 

Actividades

Se elige el material del blanco, en el control de selección Material del blanco.

Se introduce

  • la energía de la partícula alfa en MeV

Se pulsa el botón titulado Empieza

Las partículas alfa emitidas por el material radioactivo comiencen a bombardear el blanco.

Al lado del material del blanco elegido, se proporciona el dato de su numero atómico Z. Cuanto mayor sea éste, mayor será la intensidad de la fuerza repulsiva entre el núcleo fijo de dicho elemento y la partícula alfa. Verificar la influencia del número atómico en el experimento de dispersión, manteniendo constante la energía de las partículas alfa incidentes.

Experimentar con distintos blancos y energías de las partículas alfa. Observar que son muy raros los sucesos en los que la partícula alfa experimenta una gran desviación.

Este programa interactivo no es una simulación real de la experiencia de Rutherford, solamente trata de explicar los aspectos esenciales de este famosa experiencia. El programa ha sido alterado para mostrar algunos sucesos en los que una partícula alfa resulta desviada, que en la experiencia real son altamente improbables.

 

                

Simulación de la experiencia de Rutherford

Los experimentos llevados a cabo por Geiger y Mardsen en el laboratorio de Rutherford consistían en bombardear una lámina de oro de menos de un micrómetro de espesor con partículas alfa que provenían de la desintegración del radio y cuya energía era del orden de 5 MeV.

rutherford_5.gif (5781 bytes) Observaron que la mayor parte de las partículas que atravesaban la lámina seguían una línea recta o se desviaban un ángulo muy pequeño de la dirección inicial. Solamente, muy pocas partículas se desviaban grandes ángulos, lo que contradecía el modelo atómico propuesto por Thomson. Rutherford supuso que dichas desviaciones provenían de una única interacción entre la partícula proyectil y el átomo, el cual debería alojar en su interior una fuente pequeña pero intensa de campo eléctrico, el núcleo.

El programa interactivo (más abajo) simula un haz cilíndrico y homogéneo de partículas que se dirigen hacia los átomos que forman el blanco. Se dispersan debido a la interacción eléctrica y se registran en unos detectores de anchura angular 1º, que en forma de anillo que cubren el intervalo 0-180º.

Los detalles del modelo simulado, así como la gran variedad de experiencias que pueden realizarse con el programa original se pueden consultar en el texto el artículo mencionado en las referencias. En nuestra versión simplificada, se supondrá que la masa del núcleo es mucho mayor que la del proyectil, y que el espesor del blanco será tal que cada partícula incidente del haz experimenta una única interacción.

  • Se elige el material del blanco, en el control de selección Blanco.
  • Se elige el tipo de partículas incidentes, en el control de selección Proyectil.

Se introduce

  • La energía de las partículas incidentes en MeV, en el control de edición titulado Energía
  • El número de partículas incidentes, en el control de edición titulado N.proyectiles

Se activa el botón de radio Resultados y se pulsa el botón titulado Calcula, el programa muestra el número de partículas dispersadas en distintos intervalos angulares.

Se activa el botón de radio titulado Gráfica y a continuación, se pulsa el botón titulado Calcula. Comprobamos la fórmula de Rutherford de la siguiente manera:

Tomando logaritmos en la fórmula de Rutherford

donde s (F )= N/(2p·senF), N es el número de partículas registradas en el detector de ángulo F.

En el eje vertical, se representa el logaritmo de s (F ). En el eje horizontal se representa el logaritmo del seno de la mitad del ángulo de dispersión sen(F /2).

Se obtiene una línea recta cuya pendiente es –4 o un número muy próximo a éste. Verificándose de este modo, la famosa fórmula de Rutherford.

 

 

Referencias

Paniagua, Sánchez, Moreno, Rufo. Rutherford simple and multiple scattering by computer simulation. Eur. J. Phys. 22 (2001), pp. 157-167.

Este applet es una versión simplificada de una aplicación que se puede descargar de la dirección http://webepcc.unex.es/~ppmoreno