Oscilaciones en un sistema formado por dos vasos comunicantes

prev.gif (1231 bytes)home.gif (1232 bytes)next.gif (1211 bytes)

Fluidos

Dinámica de fluidos
Vaciado de un depósito (I)
Vaciado de un depósito (II)
Cohete propulsado
por agua
Oscilaciones en un tubo
en forma de U 
marca.gif (847 bytes)Oscilaciones en vasos
  comunicantes

Fluidos reales
Ley de Poiseuille
Viscosidad de un gas
Viscosidad de un líquido
Fluido entre dos
cilindros coaxiales
Descarga de un
tubo-capilar
Carga y descarga de
un tubo-capilar
Analogía de las series de
desintegración radioactiva
Régimen laminar y 
turbulento
Efecto Magnus
Oscilaciones en dos vasos comunicantes

Oscilaciones armónicas en dos vasos iguales

java.gif (886 bytes)Actividades

Referencias

 

Vamos a describir las oscilaciones de un fluido ideal contenido en dos vasos comunicantes cuyas alturas iniciales difieren de la de equilibrio.

 

Oscilaciones en dos vasos comunicantes

Sean h01 y h02 las alturas iniciales del fluido en cada uno de los recipientes, y S1 y S2 sus secciones respectivas, la altura de equilibrio h se obtiene de la relación

S1h01+S2h02=(S1+S2)h

Cuando el fluido en el primer recipiente se desplaza x1 de la posición de equilibrio, en el segundo recipiente se desplazará x2 de la posición de equilibrio. Como el volumen total de fluido en ambos recipientes es constante, la relación entre estos desplazamientos será

S1x1=S2x2 (1)

Ecuación de continuidad

Si v1 es la velocidad del fluido en el primer recipiente, v2 en el segundo y u en el tubo que comunica ambos recipientes se cumplirá por la ecuación de continuidad que

S1v1=S2v2=Su (2)

Balance energético

Las masas de fluido que hay en cada uno de los recipientes y en el tubo de comunicación en un instante t determinado, serán respectivamente:

  • Masa en el primer recipiente: m1=r S1(h-x1)
  • Masa en el segundo recipiente: m2=r S2(h+x2)
  • Masa en el tubo de comunicación: m=r Sd

Donde S es la sección del tubo de comunicación y d su longitud

Variación  de energía cinética entre el instante t y el instante t+dt.

Variación de energía potencial: una masa dm pasa desde la posición inicial h+x2 a la posición final h-x1.

donde dm=-r S1dx1, ya que x1 disminuye

Principio de conservación de la energía DEk=DEp

A partir de esta ecuación y de las relaciones (1) y (2), escribimos v1 en función de x1.

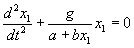
dividiendo ambos miembros por dt, llegamos a la ecuación diferencial

Para simular el comportamiento de este sistema oscilante, se resuelve la ecuación diferencial de segundo orden mediante el procedimiento numérico de Runge-Kutta con las condiciones iniciales v1=0, cuando x1=h-h10. Siendo h la altura de equilibrio, y h10 la altura inicial en el primer recipiente.

 

Oscilaciones armónicas en dos vasos iguales

El término b es nulo cuando S1 es igual a S2. La ecuación diferencial se convierte en

Ecuación diferencial de un MAS cuya frecuencia angular ω2=g/a y cuyo periodo es

En el caso de un tubo con la misma sección S=S1=S2, la fórmula del periodo P de las oscilaciones armónicas tiene una expresión muy simple.

El parámetro a=(2h+d)/2. Si L=2h+d es la longitud del líquido en el tubo de la misma sección.

Energías cinética y potencial

Volviendo de nuevo al caso general, calculamos la energía potencial y la energía cinética, comprobando que su suma es constante.

La energía potencial del fluido contenido en ambos recipientes (la energía potencial del fluido contenido en el tubo de comunicación no cambia) es

Donde m1 es la masa de fluido en el primer recipiente y m2 en el segundo. El centro de masa se encuentra a la mitad de la altura.

A partir de la relación (1), y escribiendo la masa como producto de la densidad del fluido r  por el volumen que la contiene, expresamos Ep en función de x1 y h.

La energía cinética es la suma de la energía cinética del fluido en el primer recipiente, en el segundo y en el tubo de comunicación.

A partir de las relaciones (1) y (2), y escribiendo la masa como producto de la densidad del fluido r por el volumen que la contiene, expresamos Ek en función de x1 y h y v1

Cuando S1 es igual a S2 el término en x1 desaparece.

Si la ecuación del MAS es x1=A·sen(w t), v1=Aw cos(w t), sumando los valores de la energía cinética y potencial se tiene que obtener un valor constante de la energía total independiente del tiempo t. Por tanto, los coeficientes del sen2 y del cos2 tienen que tener el mismo valor. De ahí, obtenemos el valor del cuadrado de la frecuencia angular w .

que es la mismo que ω2=g/a cuando S1=S2

Cuando los depósitos tienen la misma sección hemos obtenido por dos procedimientos distintos la frecuencia angular y el periodo del MAS que describe

Ejemplo

Se arrastra con el puntero del ratón las flechas de color rojo y de color azul, para establecer las alturas iniciales h01 y h02 del fluido en ambos recipientes.

Se introducen los valores de:

  • el radio r1 del recipiente izquierdo por ejemplo, r1=5 cm
  • el radio r2 del recipiente derecho por ejemplo, r2=5 cm
  • el radio r del tubo que comunica ambos recipientes por ejemplo, r=0.2 cm
  • la longitud d de dicho tubo se ha fijado en 10 cm.
  • sean las alturas iniciales h01=20 cm y h02=30 cm

Las secciones de los recipientes y del tubo valdrán, respectivamente

La altura de fluido h en equilibrio se obtiene

S1h01+S2h02=(S1+S2)h

Al ser las secciones iguales, la altura de equilibrio es la media de las alturas iniciales h=(20+30)/2=25 cm=0.25 m.

El periodo de las oscilaciones vale

Resumen

En general, cuando el nivel de fluido ideal contenido en dos vasos comunicantes se desvía de la posición de equilibrio, el sistema oscila, pero no describe un MAS.

Cuando las secciones de ambos recipientes son iguales o bien, cuando el término b es despreciable frente a a, el sistema describe un MAS cuyo periodo hemos calculado en la sección precedente.

 

Actividades

Se introduce

  • el radio del recipiente izquierdo, actuando en la barra de desplazamiento titulada Radio izquierdo
  • el radio del recipiente derecho, actuando en la barra de desplazamiento titulada Radio derecho
  • el radio del tubo de comunicación entre ambos recipientes, en el control de edición titulado Radio tubo comunicación
  • la longitud d de dicho tubo se ha fijado en 10 cm.

Se pulsa el botón titulado Nuevo

Se establece

  • la altura inicial h01 de agua en el depósito izquierdo, moviendo la flecha de color rojo con el puntero del ratón.
  • la altura inicial h02 de agua en el depósito derecho, moviendo la flecha de color azul con el puntero del ratón.

Se pulsa el botón titulado Empieza.

Cuando se cambia los parámetros del sistema (radios de los recipientes o del tubo de comunicación) se pulsa el botón titulado Nuevo y a continuación, se establecen las alturas iniciales del fluido en los dos recipientes moviendo con el puntero del ratón las flechas de color azul y rojo.

Para observar las oscilaciones, se pulsa el botón titulado Empieza.

 

FluidoApplet1 aparecerá en un explorador compatible con JDK 1.1.

Se arrastra con el puntero del ratón las flechas de color rojo y azul

 

Referencias

Esta página se ha elaborado a partir del enunciado y solución del problema 203 del libro

Wittenbauer F..Problemas de Mecánica General y Aplicada. Tomo III  Editorial Labor (1963) .