Medida de la tensión superficial de una pompa de jabón (II)

prev.gif (1231 bytes)home.gif (1232 bytes)next.gif (1211 bytes)

Fluidos

Tensión superficial
Gotas. Ley de Tate
Presión producida por la
curvatura de una superficie
Tensión superficial de una 
pompa de jabón (I)
marca.gif (847 bytes)Tensión superficial de una 
  pompa de jabón (II)
Método de la burbuja
Fenómenos capilares
Forma de la cuerda
Fundamentos físicos

java.gif (886 bytes)Actividades

Referencias

 

En esta página, se describe una experiencia para la medida de la tensión superficial de una pompa de jabón. El experimento consta de dos etapas

1.- Con una jeringa de volumen conocido se produce una pompa de jabón de radio r0.

2.-Se pone en contacto la pompa de jabón con el extremo de un tubo capilar de radio R y longitud L. El aire de la burbuja sale por el tubo, la burbuja se va deshinchando hasta que desaparece.

 

Fundamentos físicos

La jeringa que usamos para producir la burbuja es de forma cilíndrica, de radio 1 cm y de longitud 20 cm.

Al empujar el émbolo hasta el final de su recorrido se forma una pompa cuyo radio r0 es

donde r0=2.47 cm.

tension1.gif (1696 bytes)

Se conecta la burbuja al extremo del tubo capilar de longitud L y radio R. El aire que circula por el tubo se comporta como un fluido viscoso, aplicamos la ley de Poiseuille suponiendo que el aire fluye en régimen laminar.

donde G es el gasto o volumen de fluido que fluye en la unidad de tiempo, Dp es la diferencia de presión entre los extremos del tubo, y h es la viscosidad del fluido.

La fórmula de Young-Laplace nos da el valor de la diferencia de presión entre el interior y el exterior de la burbuja, o entre los extremos del tubo capilar, Dp=4g /r

El radio de la burbuja disminuye con el tiempo al escaparse el aire por el tubo capilar, G=-dV/dt. Siendo V=4pr3/3 el volumen de la burbuja, una esfera de radio r.

La ecuación que nos describe la variación del radio r de la burbuja con el tiempo será

En el instante t=0, el radio de la pompa de jabón es r0, y en el tiempo t es r. Integrando entre estos límites se obtiene.

El tiempo t que tarda en desaparecer la burbuja, r=0 es

A partir de la medida del tiempo t, se despeja la tensión superficial g de la solución jabonosa.

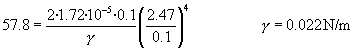
Ejemplo.

Determinar la tensión superficial de una solución jabonosa, sabiendo que el tiempo que tarda en desaparecer una burbuja de radio r0=2.47 cm es de t=57.8 s. El capilar empleado tiene un radio R=0.1 cm y una longitud de L=10 cm.

Dato, la viscosidad del aire es de h =1.72·10-5 kg/(m·s).

 

Actividades

  1. Se introduce
  • el radio R del capilar, actuando en la barra de desplazamiento titulada Radio
  • la longitud del capilar L, actuando en la barra de desplazamiento titulada Longitud
  1. Se pulsa el botón titulado Nuevo.
  2. Se pulsa el botón titulado Inflar. El émbolo se desplaza en el interior de la jeringa, hasta su posición final, adquiriendo la burbuja un radio máximo r0.
  3. Se pulsa el botón titulado Desinflar. Se pone la burbuja en contacto con el tubo capilar. La burbuja se desinfla hasta que desaparece.
  4. A partir de la medida del tiempo que tarda en desaparecer, se obtiene el valor de la tensión superficial de la solución jabonosa.
  5. Se compara el valor obtenido con el proporcionado por el programa, pulsando el botón titulado Respuesta.

 

CalibreApplet aparecerá en un explorador compatible con JDK 1.1.

 

Referencias

Rämme G. Surface tension from deflating a soap bubble. Phys. Educ. 32 (3)   May 1997. pp 191-194.