Demostración de la ley de Faraday (II)

prev.gif (1231 bytes)home.gif (1232 bytes)next.gif (1211 bytes)

Electromagnetismo

Ley de Faraday
Espiras en un campo
magnético variable (I)
Espiras en un campo
 magnético variable (II)
Demostración de 
la ley de Faraday (I)
marca.gif (847 bytes)Demostración de 
 la ley de Faraday (II)
Acelerador de partículas
El betatrón
Varilla que se mueve
en un c. magnético (I)
Caída de una varilla
en un c. magnético
Movimiento de una
espira a través de
un c. magnético
Medida del campo
magnético
Generador de corriente
alterna
Galvanómetro balístico
Corrientes de Foucault
Imán en tubo metálico
Inducción homopolar
Un disco motor y
generador
Varilla que se mueve
en un c. magnético (II)
Varilla que se mueve
en un c. magnético (III)
Varilla que se mueve
en un c. magnético (IV)
Momento angular de
los campos EM (I)
Momento angular de
los campos EM (II)
Descripción

java.gif (886 bytes)Actividades

Referencias

 

En la página Demostración de la ley de Faraday (I)  el modelo de imán es análogo a un dipolo eléctrico, consistente en dos de cargas magnéticas iguales y de signo contrario. De este modo, se puede calcular el flujo del campo magnético producido por el imán a través de las espiras de una bobina.

En esta página, el modelo de imán es un poco más refinado y se supone que es similar a un dipolo magnético, una espira de radio a por el que circula una corriente de intensidad i. Su momento magnético es m=p a2i.

 

Descripción

Hemos calculado el campo magnético producido por una espira en un punto fuera de su eje. En particular, para aquellos puntos alejados de la espira en comparación a su radio a, las componentes del campo tienen una expresión más simple.

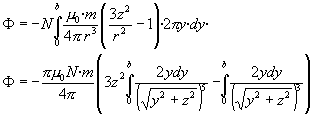
El flujo del campo producido por el imán a través de una bobina de radio b formada por de N espiras apretadas es.

Dado que el plano de la espira es perpendicular al eje Z, el flujo de la componente Y del campo es nulo. Por otra parte, como Bz apunta hacia abajo el flujo es negativo, tal como vemos en la figura.

El elemento diferencial de superficie dS, es el área de un anillo de radio y y de espesor dy, su valor es dS=2p y·dy

Aplicando la ley de Faraday

En la figura se muestra el flujo (en color azul) y la fem (en color rojo).

  • La velocidad del imán es negativa v<0
  • Para z>0 la pendiente dФ/dz es positiva, la fem Ve >0 es positiva
  • Para z<0 la pendiente dФ/dz es negativa, la fem Ve <0 es nagativa

Esta función tiene dos extremos (un máximo y un mínimo) que calculamos haciendo dVe /dz=0 y se sitúan en zb/2., como podemos comprobar fácilmente.

El valor máximo de la fem es

El valor máximo de la fem Ve  es más grande para bobinas de menor radio b.

 

Actividades

En la experiencia descrita en el artículo mencionado en las referencias, se usa un imán de 1.0 cm de espesor y de 0.9 cm de radio. Se determina experimentalmente su momento magnético m, midiendo el campo magnético en distintas posiciones a lo largo de su eje Z. Poniendo r=z en la expresión de la componente Bz del campo magnético producido por el imán.

El valor experimental del momento dipolar magnético es de m=2.35 Am2.

El campo magnético producido por el imán atraviesa una bobina de N=400 espiras con una velocidad constante del orden de 70-90 cm/s. Los radios de las bobinas empleadas son del orden de 3 cm.

Ejemplo:

Supongamos que la bobina tiene b=3 cm de radio y la velocidad del imán es de v=80 cm/s. El valor máximo de la fem es de

Introducir los valores de los parámetros siguientes:

  • La velocidad constante del imán v en cm/s, en el control de edición titulado Velocidad.
  • El radio b de la bobina en cm en el control de edición titulado Radio.
  • El momento dipolar magnético se ha fijado en m=2.35 Am2.
  • El número de espiras de la bobina se ha fijado en N=400

Se pulsa en el botón titulado Empieza.

Se observa el imán acercándose a la bobina, el campo magnético se incrementa rápidamente cuando el imán se encuentra cerca de la bobina. Se representa mediante un vector el flujo del campo magnético producido por el imán a través de las espiras de la bobina.

El movimiento de los puntos de color rojo situados sobre la bobina nos señala el sentido de la corriente inducida. El sentido antihorario se toma como positivo y el sentido horario como negativo.

Finalmente, se representa la fem (en color rojo) y el flujo (en color azul) en función de z, la distancia entre el imán y la bobina. Podemos observar que el máximo se sitúa en la posición z=-b/2, y el mínimo en la posición simétrica z=b/2. La separación entre le máximo y el mínimo es igual al radio de la bobina.

Calcular la fem para varias posiciones del imán y compararlas con las proporcionadas por el programa interactivo.

 

FemApplet aparecerá en un explorador compatible JDK 1.1

 

Referencias

Kingman R., Clark Rowland S., Popescu S. An experimental observation of Faraday’s law of induction. Am. J. Phys. 70 (6) June 2002, pp. 595-598.