Difrakzioak modulatutako interferentzia

prev.gif (1231 bytes)home.gif (1232 bytes)next.gif (1211 bytes)

Uhinak

Interferentzia 
eta difrakzioa
Quincke-ren hodia
Uhinen interferentzia
bi iturrirekin (I)
Uhinen interferentzia
bi iturrirekin (II)
Uhinen interferentzia
zenbait iturrirekin
Zirrikitu lineal batek
sortutako difrakzioa
marca.gif (847 bytes)Interferentzia
gehi difrakzioa
Difrakzioa, irekigune
laukizuzenarekin
eta zirkularrarekin
Fresnelen difrakzioa
Deskribapena

Difrakzio sareak

Saiakuntza

 

Orri honetan nahasita aztertuko ditugu uhinen interferentzia eta difrakzioa, biak uhinen berezko fenomenoak.

Deskribapena

Har ditzagun bi zirrikitu, biak berdinak, b zabaleradunak eta a separaziodunak, irudiak adierazten duen bezala:

Zirrikituen ezkerraldetik uhin lau eta harmoniko batek erasotzen badu, kalkula dezagun nolakoa den irteerako uhina θ norabidearen arabera, eta kontutan izanda, bi zirrikitu direnez interferentzia sortuko dutela, eta zabalera mugatua dutenez, difrakzioa ere sortuko dutela.

Batetik, kalkula dezagun zirrikitu bakoitzak sortutako difrakzioaren anplitudea:

Eta bestetik, bi iturrik sortutako interferentzia kalkulatzeko, bi bektoreek, A1 eta A2, osatzen duten angelua kalkulatu behar da, alegia, bi uhinen arteko desfasea:  δ=k(a·sinθ)=asinθ/λ. Bi zirrikituek igorritako uhinen intentsitateak berdinak badira bi bektoreen moduluak ere berdinak izango dira: A1=A2.

Eta anplitude erresultanteak honakoa ematen du:

edota,

Anplitudearen ordez, kalkula dezagun intentsitatea, izan ere, anplitudearen karratuaren proportzionala:

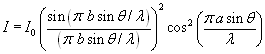
Konparatzen baditugu ekuazio hori eta zirrikitu bakarrak ematen duen difrakzioarena, faktore gehigarri bat ikusten da, kosinu karratu bat, izan ere, bi iturri puntualek sortutako interferentziari dagokion terminoa. Hortaz, uhin erresultantearen intentsitatea bi terminoren biderkadura izango da:

Zirrikituen b zabalera, halabeharrez, a separazioa baino txikiagoa denez, patroi erresultantea interferentziazko diagrama bat da, baina difrakzio-funtzioak modulatua, alegia:

  • Interferentziaren intentsitate maximoak sortzen dira honako baldintza betetzen duten norabideetan:

a·sinθ/λ=n ( n=0, ±1, ±2,…)

  • Eta difrakzioaren intentsitate minimoak sortzen dira beste hauetan:

b·sinθ/λ=n ( n=±1, ±2,…)

Esan dugunez, halabeharrez a>b denez, difrakzioaren minimoak posizio zabalagoetan ateratzen dira interferentziaren maximoak baino, ondoko irudiak erakusten duen bezala:

 

(goiko irudian, a=5b).

 

Difrakzio-sareak

Bi zirrikituk sortzen duten interferentzia-difrakzio diagrama ikusi ondoren, azter dezagun orain bi baino zirrikitu gehiagok sortzen dutena. Zirrikituak, denak dira paraleloak, zabalera berekoak, b, eta separazio erregularra dute, a.

Uhin erresultantearen intentsitatea, θ angeluaren menpe idatzita, bi terminoren biderkadura da:

Funtzio horrek maximo nagusi batzuk ditu, alegia, intentsitate handiko zenbait izpi ematen ditu, izan ere, N iturrik sortutako interferentziak ematen dituen posizio berdinetan:

a·sinθ/λ=n  eta n=0, ±1, ±2,…

Maximo nagusien artean maximo sekundarioak ere badaude (izan ere N-1 minimo eta N-2 maximo sekundario).

Bestalde, difrakzioari dagokionean, intentsitate minimoen posizioa b zabalerari dagokiona da. Bi terminoak biderkatuz, interferentzia- diagramaren antzekoa ateratzen da, baina difrakzio-diagramak modulatua, ondoko irudiak erakusten duen bezala (difrakzioaren minimoak gorriz adierazi dira):

(irudian N=8 eta a=5b)

Saiakuntza

Aukeran idatz daitezke:

  • Zirrikituen zabalera, b, milimetrotan, dagokion kontrolean idatziz.
  • Bi zirrikitu kontsekutiboren arteko separazioa, a, milimetrotan, dagokion kontrolean idatziz. Separazioak nahitaez zirrikituen zabalera baino handiagoa izan behar du: a>b.
  • Uhin luzera, λ , nanometrotan, (1 nm=10-9 m), dagokion kontrolean idatziz.
  • Iturri kopurua, N, edo zirrikitu-kopurua, zerrenda tolesgarrian aukeratuz.
     
  1. I  botoia aktibatzen bada (interferentzia), programak interferentzia-diagrama irudikatzen du, alegia, N iturri puntual eta koherentek sortzen dutena, a separazio konstantearekin.
  2. D botoia aktibatzen bada (difrakzioa), programak difrakzio-diagrama irudikatzen du, alegia, b zabaleradun zirrikitu batek sortzen duena.
  3. Biak botoia aktibatzen bada, programak irudikatzen du interferentzia-diagrama baina difrakzio-diagramak modulatua.

Azkenik Irudia botoia klikatu.

Leihatilaren azpialdean intentsitate erresultantea irudikatzen da, baina gris-eskalan adierazita, argazkia balitz bezalaxe. Horrelakoxeak izaten dira interferentzia diagramak argiarekin egiten direnean. kolore zuriak intentsitate maximoa adierazten du eta beltzak, berriz, intentsitate nulua.

Leihatilaren goialdean, intentsitatearen diagrama irudikatzen da, baina ardatz horizontaleko aldagaia hau da: x= a·sinθ/λ. Difrakzioaren minimoak marratxo gorriez adierazten dira.

Saguarekin, laukitxo gorria ezker-eskuin desplaza daiteke, eta leihatilaren goiko eta ezkerreko erpinean zenbakiz adierazten dira x posizio bakoitzerako, θ angelua eta I intentsitatea.

Adibidea:

  • Zirrikituaren zabalera, b=0.2 mm

  • Zirrikituen arteko separazioa, a=1.0 mm

  • Zirrikitu kopurua, N=2.

Posizioa: x=2.0, interferentziazko maximo bati dagokio.

x=a·sinθ/λ  denez, orduan  b·sinθ/λ=xb/a

Intentsitatearen formulan ordezka daiteke: a·sinθ/λ=2.0, edota b·sinθ/λ=0.4

Eta intentsitate erresultantea hau da:

Esaterako, uhinaren uhin-luzera hau bada: λ=650 nm= 650·10-9 m orduan posizio horretan sinθ=x·λ/a = 0.001  alegia, θ=0.07º

 

Saguarekin, desplaza ezazu laukitxo gorria ezker-eskuin.