Doppler-efektua, igorleak higidura zirkularra duenean

prev.gif (1231 bytes)home.gif (1232 bytes)next.gif (1211 bytes)

Uhinak

Akustika
Uhin geldikorrak
hodietan
Soinuaren abiadura
hagatxo batean
Soinuaren abiadura
gas batean
Helmholtz-en
erresonadorea
Fourier-en analisia
Doppler efektua (I)
Doppler efektua (II)
marca.gif (847 bytes)Doppler efektua (III)
Behatzailea ez dago igorlearen abiaduraren norabidean

Igorlea higidura zirkularraz mugitzen da

Saiakuntza

Erreferentzia

 

Aurreko orri batean, Doppler-efektua (I) orrian, igorlea eta behatzailea biak mugitzen dira norabide berean, alegia, hurbiltzen zein urruntzen, baina betiere dimentsio bakarrean.

Orri honetan, berriz, bestelako esperimentu bat simulatzen da: soinu-iturri batek R erradiodun ibilbide zirkularra deskribatzen du, ω abiadura angeluar konstanteaz. Mikrofono finko batek soinua jasotzen du ondoko irudiak erakusten duen bezala, alegia, zirkuluaren perimetroan kokatuta.

 

Behatzailea ez dago igorlearen abiaduraren norabidean

Aurreko orrian, igorlea norabide finkoan mugitzen da, alegia, norabide zuzenean eta abiadura konstanteaz, vE, eta behatzailea ere zuzen horretan zehar mugitzen ari da.

Oraingoan, har dezagun pixka bat konplikatuagoa den kasu bat. Behatzailea ez dago igorlearen abiaduraren norabidean, zuzen horretatik R distantziara baizik, eta geldi, irudiak erakusten duen bezala.

  • t aldiunean, igorleak lehen seinalea igortzen du (uhin harmonikoaren maximo bat, adibidez). Behatzaileak seinale hori jasotzen du t1 aldiunean. t aldiunean, igorlearen eta behatzailearen arteko distantzia d1 bada, orduan:

t1=t+d1/vs

non vs soinuaren abiadura den.

  • Igorleak bigarren seinalea igortzen du t+P aldiunean. Aldiune horretan, igorlearen eta behatzailearen arteko distantzia d2 da, eta behatzaileak seinale hori jasotzen du t2 aldiunean. Beraz:

t2=t+P+d2/vs

hemen P uhin harmonikoaren periodoa da.

Behatzailearen ikuspegitik, uhin harmonikoaren periodoa, P’ izango da, bi seinaleak jasotzeko denbora-tartea:

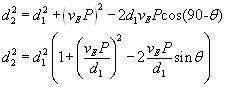
Irudiko hirukian geometrikoki erlaziona daitezke d2 eta d1:

Erlazio hori sinplifika daiteke kontsideratzen badugu vE·P  aldea oso txikia dela d1 edo d2-ren aldean.

Karratura berretuta dagoen terminoa arbuiatuz, unitatearen aldean, eta beste terminoa txikia dela suposatzen badugu, seriezko garapena egin daiteke:

Hona hemen lortutako emaitza:

Eta orduan, behatzaileak neurtutako P’ periodoa:

Eta maiztasuna, periodoaren alderantzizkoa da: f’=1/P’

Hurbildutako formula

Hurbildutako formula hori beste prozedura sinpleago batez lor daiteke. Doppler-efektuaren formula dimentsio bakarrean hartuz, eta behatzailearen abiadura nulutzat hartuz (vO=0):

Baina behatzailea ez badago igorlearen abiaduraren norabide berean, egin dezagun, t aldiunean, lerro zuzen bat igorletik behatzailera eta igorlearen vE abiadura proiekta dezagun norabide horretan, ondoko irudiak erakusten duen bezala:

Aldiune horretan, igorlearen abiadura behatzailearekiko ez da vE osoa, bere proiekzioa baizik, alegia, vE·sinθ eta hurbiltzen, irudiak erakusten duen bezala. Abiadura proiekta daiteke biak lotzen dituen norabide zuzenean. Eta dimentsio bakarreko formulan ordezkatzen bada vE-ren ordez vE·sinθ, lehengo formula bera lortzen dugu:

 

Igorlea ibilbide zirkularraz mugitzen da

Demagun orain, igorlea ibilbide zirkularraz mugitzen dela, R erradioaz eta ω abiadura angeluar konstanteaz. Behatzailea geldi dago zirkuluaren zentrotik R distantziara, alegia, zirkuluaren perimetroko puntu batean, irudiak erakusten duen bezala.

  • t aldiunean, igorleak lehen seinalea igortzen du (esaterako uhin harmonikoaren maximo bat). Une horretan, igorlearen eta behatzailearen arteko distantzia d1 da eta behatzaileak seinale hori jasoko du  t1 aldiunean, beraz:
    t1=t+d1/
    vs
     

  • t+P aldiunean bigarren seinalea igortzen du; une horretan igorlearen eta behatzailearen arteko distantzia d2 da, eta behatzaileak seinalea jasoko du t2 aldiunean, beraz:
    t2=t+P+d2/vs

Behatzaileak jasoko duen periodoa bi denboren arteko tartea izango da: P’=t2-t1=P+(d2-d1)/vs

Irudiko hiruki isoszelean, R ezagututa eta ωt angelua, erraz kalkula daiteke d1 distantzia:

d1=2sin(ωt/2)

Modu berean kalkulatzen da d2=2sin[ω(t+P)/2]

Formula hori sinplifika daiteke, ωP txikia bada eta, beraz, sinuaren adierazpen hurbildua erabiliz: sin(x)x.

Jasotako maiztasuna periodo horren alderantzizkoa da: f’=1/P’

Formula hurbildua

Igorleak ibilbide zirkularra deskribatzen du, R erradio eta ω abiadura angeluar konstanteaz; beraz, igorlearen posizio angeluarra t aldiunean, ωt da, eta bere abiadura, ibilbidearekiko tangentea, ωR, irudiak erakusten duen bezala.

Dimentsio bakarreko kasuan, igorleak behatzailearekiko duen vE  abiadura erlatiboa, ωR abiaduraren (bektore gorriaren) proiekzioa da igorlea eta behatzailea lotzen dituen zuzenaren norabidean (bektore urdina). Kalkula dezagun proiekzio hori:

Hiruki isoszele bat osatzen badugu igorlea eta behatzailea lotzen dituen norabidearekin eta bi erradioekin, α angeluaren balioa hau da:  α=π/2-ωt/2.

Beraz,  vE= ωR·cos(π/2- α)= ωR·cos(ωt/2)

Hortaz, baldintza hauetan, Doppler efektua deskribatzen duen formula hau da:

  • Baldin ωt <π  igorlea behatzailearengandik urruntzen ari da, f '<f

  • Baldin ωt >π  igorlea behatzailearengana hurbiltzen ari da, f '>f

  • ωt =π  betetzen den aldiunean, igorlea eta behatzailea lotzen dituen norabidea justu diametro horizontala da, eta beraz abiaduraren proiekzioa diametro horren gainean nulua da. Une horretan, behatzaileak jasotzen duen maiztasuna justu igorleak emititzen duen bera da:  f '=f

Justu ωt =2π  betetzen den aldiunean, ez-jarraitutasuna gertatzen da, alegia, maiztasunak balio altu batetik salto egiten du balio baxu batera. Hona hemen f’-ren balio maximoa (igorlea behatzailerantz hurbiltzen):

eta f’-ren balio minimoa, (igorlea behatzailetik urruntzen)

Ondoko irudiak f’  maiztasuna adierazten du ωt-ren menpe:

Konpara ditzagun formula zehatza eta formula hurbildua.

Har ditzagun simulaziorako vs=1, R=1, unitate gisa. Eta har dezagun igorleak emititzen duen soinuaren maiztasuna: f=4. Kalkula dezagun soinuaren f '  maiztasuna zenbait aldiunetan, bi formulekin:.

ωR

ωt=0

ωt

ωt=2π

0.1

3.64

3.64

4.00

4.00

4.44

4.44

0.3

3.08

3.08

4.00

4.02

5.71

5.71

0.5

2.67

2.67

4.00

4.06

8.00

7.99

0.7

2.35

2.35

4.00

4.13

13.33

13.29

0.9

2.11

2.11

4.00

4.21

40.00

39.25

  1. Lehen zutabea igorlearen abiadura konstantea da, alegia, ωR, betiere soinuaren abiadura baino txikiagoa: vs=1.0. Ikusten denez, zenbait abiadura ezberdin probatu dira.

  2. Bigarren zutabea, behatzaileak jasotako soinuaren maiztasun minimoa, ωt=0 posizioan eta igorlea behatzailetik urruntzen ari denean.
  3. Hirugarren zutabea behatzaileak jasotako soinuaren erdiko maiztasuna, ωt= π , posizioan, alegia igorlea ez da ez urruntzen ez hurbiltzen ari.
  4. Laugarren zutabea behatzaileak jasotako soinuaren maiztasun maximoa, ωt=2π posizioan eta igorlea behatzailerantz hurbiltzen.
  • Grisez ilundutako zutabeetan f’  maiztasunak formula hurbilduarekin kalkulatu dira.
  • Ilundu gabeko zutabeetan, ordea,  f’ maiztasunak formula zehatzarekin kalkulatu dira.

Ikus daitekeenez, formula biek oso antzeko maiztasunak ematen dituzte.

Bi formulen arteko ezadostasunak hazi egiten dira f  maiztasuna txikia bada, ω errotazio abiadura handia bada, eta igorlea behatzailetik urruntzen ari denean (maiztasun maximoa).

 

Saiakuntza

Zirkunferentziaren erradioa unitatetzat hartu da: R=1. Soinuaren abiadura ere erreferentziatzat hartu da: vs=1. Azkenik, igorleak emititzen duen soinuaren maiztasuna ere finkotzat hartu da: f=4, edo periodoa P=1/f=0.25 denbora-unitate.

Aukeran idatz daiteke:

  • Igorlearen abiadura angeluarra, ω, dagokion laukian 0 eta 1 bitarteko zenbaki bat idatziz edo desplazamendu barrari saguaz eragiten.

Hasi botoia klikatu.

Puntu gorri batek igorlea adierazten du, eta ibilbide zirkularrean mugitzen hasten da, abiadura angeluar konstanteaz. Behatzailea mikrofono bat da, puntu urdin batez adierazita eta geldi, zirkunferentziaren perimetroko puntu batean.

Soinu-iturria harmonikoa da, alegia HHS deskribatzen du honelako erlazioaz: Ψ= Ψ0·cos(8πt). Zirkulu gorriek adierazten dituzte igorritako uhin-fronteak.

Leihatilaren beheko aldean uhin harmonikoak adierazten dira, igorlea eta behatzailea lotzen dituen norabidean moztuta.

Adierazpen grafiko horrekin erlaziona daiteke dimentsio bakarreko vE abiadura (ωR abiaduraren proiekzioa igorlea eta behatzailea lotzen dituen norabidean) behatzaileak jasotako soinuaren f’  maiztasunarekin. Bektoreekin adierazten dira igorlearen ωR abiadura (marra beltzez) eta bere vE proiekzioa (marra gorriz).

Uhinak igorletik behatzailera iristeko denbora behar du: igorle-behatzaile distantzia zati soinuaren abiadura.

Leihatilaren eskumako aldean grafikoki adierazten da behatzaileak jasotako soinuaren f’  maiztasuna ωt-ren menpe, alegia, igorlearen posizio angeluarraren menpe.

  • Baldin ωt=(2k+1)π, k=0, 1, 2, 3… jasotako maiztasuna f’ =f = 4.

  • Baldin ωt=2kπ, k=0, 1, 2, 3… f’  maiztasunak salto bat du, maximotik minimora modu ez-jarraituan.

Adibidea:

Aukeratzen badugu ω=0.5.

  • Behatzaileak jasotzen duen maiztasun maximoa hau da:

  • Eta behatzaileak jasotzen duen maiztasun minimoa:

 

Erreferentzia

Saba M., Rosa R A., The Doppler effect of a sound source moving in a circle. The Physics Teacher, Vol 41, February 2003, pp. 89-91.