Errotazioa eta translazioa egokituta (II)

prev.gif (1231 bytes)home.gif (1232 bytes)next.gif (1211 bytes)

Solido zurruna

Solido zurrunaren
higidura orokorra
Bi higidura-mota
gainezarrita
Maxwellen gurpila
Errotazioa eta
translazioa
egokituta (I)
Gurpil bati indar
horizontala aplikatu
Gurpila, malda
inklinatuan errodatzen
marca.gif (847 bytes)Errotazioa eta
translazioa
egokituta (II)
Deformazioak
gurpilean eta planoan
Gurpila errodatzen
eta azpiko planoa
desplazatzen
Bi esfera aurrez-
aurre talka egiten
Perkusio bat
billar-bola batean
Esfera bat mugitzen 
plano horizontal
batean
Billar-bola bi 
talka egiten
Esfera, karril batean behera erortzen

Esfera, plano horizontalean mugitzen

Saiakuntza

Erreferentziak

 

Aurreko orrian aztertu da gurpil batek malda inklinatu batean behera nola errodatzen duen, gurpilaren forma edozein izanda ere, eraztuna, zilindroa zein esfera.

Bestalde, lehenagoko orri batean, errotazioa eta translazioa orekan (I), disko bat aztertzen da plano horizontal batean zehar mugitzen, eta diskoaren errotaziozko abiadura eta translaziozko abiadura hasieran independenteak dira, baina marruskadura-indarraren eraginez, eta denbora-tarte bat iragan ondoren, abiadura bi horiek erlazionatuta amaitzen dute: vmz=ω·R

Honako orri honetan, bi adibide horiek konbinatuko ditugu:

Demagun karril inklinatu bat, d zabaleraduna, eta bertatik erdi-sartuta, esfera bat erortzen uzten dela (esferaren diametroa karrilaren zabalera baino handiagoa da: 2R>d). Ondoren, karril inklinatua amaitzen zaionean, esferak plano horizontal batean segitzen du. Kalkula dezagun esferaren zentroaren abiadura finala, planoan mugitzen ari denean.

 

Esfera, karril inklinatuan behera erortzen

Esferak karrila ukitzen du bi puntutan, irudiak erakusten duen bezala. Beraz, karrilak bi erreakzio ditu, N, eta bi marruskadura-indar, Fr. Marruskadura-indar netoak karrilaren beraren norabidea du, erreakzio netoak aldiz, karrilaren norabide perpendikularra du eta esferaren zentrotik pasatzen da. Hona hemen bi indar netoen moduluak:

  • Marruskadura-indar erresultantearena: F1=2Fr

  • Eta erreakzio normal erresultantea: N1=2N·r/R.

Azken adierazpen horretan r distantzia da, karrilak kontaktu bietan osatzen duen planotik esferaren zentroraino dagoena, eta erlazio hau betetzen du:

 r2=R2-d2/4.

Esferak hiru indar jasaten ditu:

  • Pisua, mg
  • Erreakzio erresultantea, N1
  • Marruskadura erresultantea, F1

Hona hemen esferaren higiduraren ekuazioak:

  • Karrilaren norabide perpendikularrean orekan dago:

N1=mg·cosθ

  • Karrilaren norabide paraleloan, esferak translazioa du:

mg·sinθ -F1=m·amz

  • Esferaren errotazioa, masa-zentroarekiko:

F1·r=Imz·α

  • Eta gainera, esferak ez du irristatzen:

amz=α·r

Orokorrean, esfera baten inertzia-momentua bere masa-zentrotik pasatzen den ardatz batekiko: Imz=2mR2/5. Eta ekuazio horietatik esferaren masa-zentroaren azelerazioa kalkulatzen da:

Esferak irristatu barik errodatzen badu, eta karrilaren luzera x bada, orduan masa-zentroaren abiadura karrilaren amaierara iristen denean:

Marruskadura-indarrak eta karrilaren erreakzioak ere kalkula daitezke (Fr eta N):

Irristatzearen baldintza

Esferak ez du irristatuko Fr marruskadura-indarrak ez badu bere balio maximoa gainditzen: Fr<μs·N. Bi indar horien balioak ordezkatzen badira, baldintza hori honela berridatz daiteke:

Marruskadura-koefizientea balio mugatzaile hori baino handiagoa bada, esferak ez du irristatuko. Azter dezagun balio mugatzaile hori: lehenik, 2·tanθ/7 terminoa: termino konstantea da. Ondoren d/R-ren menpeko funtzio bat, dei diezaiogun f. Adieraz dezagun f funtzio hori grafikoki, d/R-ren menpe. Hasteko, d/R nulua denean, funtzioak 1.0 balio du. d/R handitzen den heinean funtzioa ere handituz doa, maximo bat atzematen duen arte: . Ondoren, d/R handitzen segitzen bada, f funtzioa laster jaisten da eta nulu bilakatzen da, d/R=2 denean.

Gainera f>1 da, d/R<1.8tarte osoan. Beraz, karrilaren θ inklinazioa finkatzen bada, orduan marruskadura-koefizientea μs>2·tanθ/7 izan behar da esferak ez dezan irristatu. Esaterako, θ=30º baldin bada eta  d/R<1.8, orduan μs>0.165, eta pixka bat gehiago, izan behar du.

Energiaren balantzea

Esfera irristatu barik maldan behera jaisten denean, esferaren energia potentzial osoa energia zinetiko bilakatuz doa, baina energia zinetikoa bi ataletan banatzen da: translaziozkoa eta errotaziozkoa:

Ekuazio horretan v0 bakanduz lortzen den emaitza eta higiduraren ekuazioak erabilita lortu den emaitza berdinak dira:

 

Esfera, plano horizontalean mugitzen

Esfera plano horizontalera iristen denean translazio-abiadura du (v0) eta abiadura angeluarra (ω0=v0/r). Baina r<R da, eta beraz plano horizontalean ez da betetzen errodatze hutsaren baldintza (irristatu barik errodatzearen baldintza): v00·R.

Esferak plano horizontalean irristatzen duenez, marruskadura-indarrak erantzun egingo du irristatzea eragozte aldera, harik eta errodatze hutsaren baldintza lortzen duen arte. Demagun planoaren marruskadura-koefizientea eta karril inklinatuarena berdinak direla.

Esferak plano horizontala ukitzen duenean irristatzen duenez, P puntuak (kontaktuaren puntuak) abiadura du: vp=v0 0·R . Abiadura hori negatiboa da: vp<0 (ezkerrerantz), ω0=v0/r delako eta r<R. Orduan Fr marruskadura-indarra positiboa izango da (eskumarantz), irudiak erakusten duen bezala.

Hona hemen esferaren higiduraren ekuazioak:

  • Plano horizontalaren norabide perpendikularrean esfera orekan dago:

N=mg

  • Planoaren norabide paraleloan:

m·amz=Fr

  • Esferaren errotazioa, bere masa-zentroarekiko:

Imz·a = -Fr·R

  • Esferaren P puntua irristatzen ari den bitartean, marruskadura-indarra ezaguna da:

Frk·N

Ekuazio horietatik lortzen da esferaren masa-zentroaren azelerazioa eta ondoren bere abiadura:

vmz=v0k·gt

Beraz, esferaren translazio-abiadura handituz doa denborarekin.

Ekuazio horietatik ere lortzen da esferaren errotaziozko azelerazio angeluarra, eta hortik ω abiadura angeluarra (hasieran ω0=v0/r)

Beraz, esferaren errotazio-abiadura gutxituz doa denborarekin.

Plano horizontalarekin kontaktuan dagoen P puntuaren abiadura honela kalkulatzen da:

vP=vmz -w ·R

Hortik kalkula daiteke, P puntuaren abiadura noiz anulatzen den: vP=0

Eta horrekin kalkula daiteke, denbora-tarte horretan esferaren masa-zentroa zenbat desplazatu den plano horizontalean zehar (s) eta esferak zenbat biratu duen (φ):

Irristatu barik errodatzen

P puntuaren abiadura anulatzen den t aldiunetik aurrera, esferak ez du gehiago irristatzen eta v=w ·R.

Beraz, aurrerantzean marruskadura-indarra desagertzen da (Fr=0), esferak ez du translazioko azeleraziorik (amz=0) ezta errotaziozko azelerazio angeluarrik (a=0), hau da, errotaziozko abiadura angeluarra konstantea da eta translaziozkoa ere bai:

Energiaren balantzea

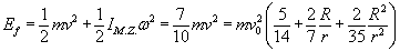
Kalkula dezagun zein erlazio duten esferaren hasierako energiak, Ei, amaierako energiak, Ef , eta marruskadurak egindako lanak, W, plano horizontalean mugitzen ari denean.

Esferaren hasierako energia (energia zinetiko hutsa da baina karrilaren hasieran zeukan energia potentzialaren berdina da):

Eta esferaren amaierako energia, irristatu barik errodatzen duenean (vmz=w ·R):

Marruskadura-indarrak translazioa azeleratzen du, baina errotazioa ordea moteldu. Hona hemen marruskadura-indarraren lan netoa:

W=Fr·s -Mr·φ = -mmk g(-s+Rφ)

Lehen kalkulatuak ditugu esferaren s desplazamendua eta biratutako φ angelua, irristatzeari uzten dion t aldiunea arte. Emaitza horiek ordezkatuta:

Eta egiaztatzen da:

W=Ef -Ei

Adibidea:

  • Erradioen arteko zatidura: d/R=1.5.

  • Esferaren erradioa: R=10 cm

  •  Plano horizontalaren marruskadura-koefizientea: μ=0.45

  • Esferak ibiltzen duen distantzia karril inklinatuan: x=1 m

  • Karril inklinatuaren angelua: 30º

r2=R2-d2/4. Beraz, r=0.066 m

Lehen lortutako ekuazioekin (dinamika edo energiaren balantzea), lehenik, kalkulatzen da esferaren v0 abiadura karril inklinatua amaitzen denean:

Eta esferaren abiadura angeluarra aldiune berean:

Une horretan esferak plano horizontala ukitzen du: Kalkula dezagun kontaktuaren P puntuaren abiadura:

vP=v0 -w0 ·R= -1.16 m/s

Abiadura hori ez da nulua eta beraz, esferak irristatu egiten du; bestela esanda, ez da betetzen errodatze hutsaren baldintza (v00·R).

Marruskadura-indarrak irristatzearen aurka jardungo du, P puntuaren abiadura anulatzea lortzen duen arte: vP=0. Horretarako vmz translazio-abiadura handitzen du eta ω errotazio-abiadura gutxitu.

Esferak irristatzen du denbora-tarte honetan:

Une horretan esferak irristatzeari uzten dio, eta aurrerantzean errotaziozko abiadura angeluarra konstante mantenduko da eta translaziozkoa ere bai:

Energiaren balantzea

Esferak hasieran honako energia du:

Ei= mgx·sinθ=m·9.8·1.0·sin30º= 4.9·m J (bere m masaren menpekoa)

Karril inklinatuan behera energia hori aldatuz doa, eta energia zinetiko bilakatzen da, baina translaziozkoa eta errotaziozkoa:

vmz=ω·r, baina kasu honetan R=0.1 eta r=0.066. Beraz, errotaziozko energia zinetikoa portzentaje gisa adierazten bada:

Errotaziozkoa da energia zinetiko totalaren %48 (beraz translaziozkoa gainontzeko %52).

Eta amaieran, esferak plano horizontalean irristatu barik errodatzen duenean: vmz=ω·R

Une horretan errotaziozko energia zinetikoa da energia zinetiko totalaren 2/7= %29.

 

Saiakuntza

Aukeran idatz daitezke:

  • Esferaren hasierako posizioa, x, karril inklinatuaren gainean.
  • Zabalera/erradioa erlazioa, karrilaren zabalera zati esferaren erradioa, desplazamendu-barrari saguaz eragiten.
  • Esferaren R erradioa finkotzat hartzen da:10 cm=0.1 m
  • Esferaren eta plano horizontalaren arteko marruskadura-koefizientea, μs= μk , dagokion kontrolean idatziz.
  • Karril inklinatuaren angelua ere finkotzat hartu da: 30º

Hasi botoia sakatu.

Esferak karril inklinatuan irristatzen badu, alegia μ<0.165  bada eta d/R<1.8, programa ez da abiatzen eta marruskadura-koefizientea handitzea eskatzen du. Gai honetan, esferak ez du irristatu behar karril inklinatuan.

Marruskadura-koefizientearen baldintza minimoa betetzen bada, esfera mugitzen hasten da, lehenik, karril inklinatuan behera eta ondoren, plano horizontalean.

Esfera plano horizontalera iristen denean, P puntuaren abiadura ez da nulua, negatiboa baizik: vP<0. Marruskaduraren eraginez, irristatze-abiadura hori gutxituz doa, denboran zehar eta anulatzen den arte: vP=0. Bektore gorri batek P puntu horren abiadura erakusten du: vP.

Leihatilaren eskumako aldean, energiaren aldakuntzak erakusten dira tarta-itxurako diagrama batean. Karril inklinatuan behera mugitzen ari den bitartean, esferaren energia potentziala energia zinetiko bilakatuz doa, baina bi motatako energia zinetikoak: translaziozkoa eta errotaziozkoa. Uneoro, hiru energia-moten batura konstantea da, marruskadura-indarrak ez duelako lan netorik egiten.

Esferak plano horizontala ukitzen duenean, ez da betetzen errodatzearen baldintza, vmz=w ·R, eta esferak irristatu egiten du. Marruskadura-indarrak irristatzearen aurka jarduten du, P puntuaren abiadura gutxituz. Denbora-tarte batean, esferak irristatzen du, baina gero eta gutxiago, eta azkenean, t aldiunean, irristatzeari uzten dio. Une horretatik aurrera errotaziozko abiadura angeluarra konstante mantentzen da eta translaziozkoa ere bai, alegia marruskadurak jadanik ez du lan gehiagorik egiten.

stokesApplet aparecerá en un explorador compatible con JDK 1.1.

 

Erreferentziak

Cromer A. An unusual rolling-sphere phenomenon. The Physics Teacher Vol 34, January 1996, pp. 48-50.

Quing-gong-Song. The requirement of a sphere rolling without slipping down a grooved track for the coeffcient of static friction. Am. J. Phys. 56 (12) December 1988, pp. 1145-1146